Inhalt
Das Wichtigste in Kürze
Der Binomialkoeffizient “n tief k” wird berechnet aus den Fakultäten gemäss folgender Definition:
\[ \begin{pmatrix} n \\ k \end{pmatrix} = \frac{n!}{(n-k)! \; k!} \]
Es gibt verschiedene Anwendungen des Binomialkoeffizienten in der Mathematik. Die Wichtigste findet sich wohl in der Kombinatorik, wo der Binomialkoeffizient der Anzahl Kombinationen von \(k\) Objekten aus einer Grundmenge von \(n\) Objekten, ohne Zurücklegen, entspricht:
Die Binomialkoeffizienten haben folgende mathematischen Eigenschaften:
\[ \begin{pmatrix} n \\ 0 \end{pmatrix} \;\;=\;\; 1 \;\;=\;\; \begin{pmatrix} n \\ n \end{pmatrix} \]
\[ \begin{pmatrix} n \\ 1 \end{pmatrix} \;\;=\;\; n \;\;=\;\; \begin{pmatrix} n \\ n-1 \end{pmatrix} \]
Der Wert des Binomialkoeffizienten ist gemäss Pascalschem Dreieck symmetrisch, d.h. von links (0 bis \(k\)) ergibt den gleichen Binomialkoeffizienten, wie von rechts (\(n\) runter um \(k\) Schritte, bis \(n-k\)):
\[ \begin{pmatrix} n \\ k \end{pmatrix} \;\;=\;\; \begin{pmatrix} n \\ n-k \end{pmatrix} \]
Hack
Falls du den Binomialkoeffizienten ohne Taschenrechner berechnen muss, rechnest du nicht so:
\[ \begin{pmatrix} 8 \\ 3 \end{pmatrix} = \frac{8!}{5!\;3!} \]
Sondern so:
\[ \begin{pmatrix} 8 \\ 3 \end{pmatrix} = \frac{8 \cdot 7 \cdot 6}{3!} \]
Im Zähler fängst du mit der oberen Zahl an und multiplizierst, bis du drei Faktoren hast (untere Zahl 3). Im Nenner berechnest du die Fakultät.
Falls du eine zu grosse Zahl in der Fakultät hast, benutzt du die Symmetrie, d.h. statt…
\[ \begin{pmatrix} 100 \\ 98 \end{pmatrix} = \frac{100 \cdot 99 \cdot 98 \cdot … \cdot 3}{98!} \]
…rechnest du:
\[ \begin{pmatrix} 100 \\ 98 \end{pmatrix} = \begin{pmatrix} 100 \\ 2 \end{pmatrix} = \frac{100 \cdot 99}{2!} \]
Tutorial Videos
Binomialkoeffizient als kompakte Formel
Der Binomialkoeffizient ist eine Rechenvorschrift für zwei (natürliche) Zahlen \(n\) und \(k\). In der Kombinatorik wird er sehr viel benutzt, weil er die Schreibweise wesentlich vereinfacht. Geschrieben wird er mit einer grossen Klammer und der Zahl \(n\) oben und der Zahl \(k\) unten:
\[ \begin{pmatrix} n \\ k \end{pmatrix} \]
Ausgesprochen wir er “n über k” oder “n tief k”. Auch wenn er einem zweidimensionalen Vektor ähnelt, hat er gar nichts mit einem Vektor zu tun!
Auf dem Taschenrechner kann er unter der Abkürzung nCr gefunden werden. Sie steht für die englische Bezeichnung “n choose r”, womit gemeint ist: “r aus n auswählen”.
Sein Wert entspricht der Anzahl Kombinationen von \(k\) Objekten aus einer Grundmenge von \(n\) Objekten (ohne Zurücklegen, d.h. ohne Wiederholungen).
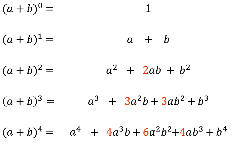
Seine Bezeichnung hat der Binomialkoeffizient von den Koeffizienten der verschiedenen Potenzen in den binomischen Formeln.
Der Binomialkoeffizient “n tief k” wird berechnet aus den Fakultäten gemäss folgender Definition:
\[ \begin{pmatrix} n \\ k \end{pmatrix} = \frac{n!}{(n-k)! \; k!} \]
Beispiel
“Mit Hilfe des Binomialkoeffizienten können wir binomische Formeln für höhere Potenzen einfach hinschreiben!”
Pascalsches Dreieck
Der französische Mathematiker und Physiker Blaise Pascal (1623-1662) schrieb 1655 eine Abhandlung über das “arithmetische Dreieck”, einem Zahlendreieck, mit welchem er Probleme der Wahrscheinlichkeitstheorie lösen wollte. Dieses Zahlendreieck war schon mehrere Jahrhunderte bekannt. Im 18. Jahrhundert wurde es dann aber Pascal zugeschrieben.
Wenn wir die Koeffizienten der binomischen Formeln anschauen, bilden sie ein Dreieck. Sie werden nicht nur mit steigender Potenz grösser im Betrag, sondern es werden auch immer mehr.

Auffallend ist, dass ganz links und ganz rechts der Koeffizient immer 1 ist.
Dann fällt uns auch auf, dass das Dreieck spiegelsymmetrisch ist. Die Koeffizienten beginnen bei 1, steigen an und nehmen dann wieder ab, bis sie wieder 1 sind.
Wenn wir nur die Koeffizienten in Dreiecksformation aufschreiben, fällt uns noch etwas weiteres auf.

Jeder Koeffizient, ausser die Einsen am Rand, werden durch die Summe der beiden Koeffizienten über ihnen berechnet. Diese Zahlen hängen auch mit dem Binomialkoeffizienten zusammen und zwar sind es die Ergebnisse von verschiedenen Binomialkoeffizienten gemäss folgender Abbildung:

Die Zahlen im Pascalschen Dreieck, inklusive den Einsen am Rand, sind die Ergebnisse von Binomialkoeffizienten. Wir erkennen auch ein Muster für die Binomialkoeffizienten. Die Zeile entspricht der oberen Zahl \(n\). Je weiter unten, desto grösser ist \(n\).
Die untere Zahl \(k\) entspricht quasi einer “horizontalen Koordinate” die mit dem Abstand von der linken Dreieckskante zunimmt.
Eigenschaften des Binomialkoeffizienten
Wenn wir ganz am Rand der Pascalschen Dreiecks sind, hat der Koeffizient den Wert 1. Das ist dann der Fall, wenn wir ganz links sind (\(k=0\)) oder ganz rechts (\(k=n\)).
\[ \begin{pmatrix} n \\ 0 \end{pmatrix} \;\;=\;\; 1 \;\;=\;\; \begin{pmatrix} n \\ n \end{pmatrix} \]
Eine Reihe innerhalb des Dreiecks haben wir keine Einsen mehr, aber die Zahlwerte sind einfach die aufsteigenden, natürlichen Zahlen.
Wenn wir uns die Definition der Rechenvorschrift des Binomialkoeffizienten in Erinnerung rufen, ist es klar, dass bei einer unteren Zahl \(k=1\) der Binomialkoeffizient gleich der oberen Zahl ist, denn:
\[ \require{cancel} \begin{pmatrix} n \\ 1 \end{pmatrix} = \frac{n!}{(n-1)!\;1!} = \frac{n \cdot \cancel{(n-1) \cdot (n-2) \cdot … \cdot 2 \cdot 1}}{\cancel{(n-1) \cdot (n-2) \cdot … \cdot 2 \cdot 1} \;\; \cdot 1} = n \]
Wegen der Spiegelsymmetrie im Pascalschen Dreieck können wir auch von rechts kommen und eins einrücken und sollten das gleiche Resultat kriegen:
\[ \begin{pmatrix} n \\ 1 \end{pmatrix} = \begin{pmatrix} n \\ n-1 \end{pmatrix} = n \]
Diese Symmetrie-Eigenschaft können wir natürlich erweitern auf beliebige Schritte \(k\) vom Rand her, denn auch wenn wir 2-Schritte von links einrücken, ist der Wert des Bionomialkoeffizienten gleich wie bei zwei Schritten von rechts etc.
\[ \begin{pmatrix} n \\ k \end{pmatrix} = \begin{pmatrix} n \\ n-k \end{pmatrix} \]
Beispiel
Weitere Videos
(keine externe Youtube-Videos zu diesem Thema)
Aufgabensammlung
Lernziele
Mini-Test
Um Zugang zum Mini-Test zu kriegen,
musst du vollwertiges Mitglied im Hacker-Club sein.
publiziert:
überarbeitet:
publiziert:
überarbeitet:
Schreib deine Frage / Kommentar hier unten rein. Ich werde sie beantworten.
Inhalt










Schreibe einen Kommentar
Du musst angemeldet sein, um einen Kommentar abzugeben.